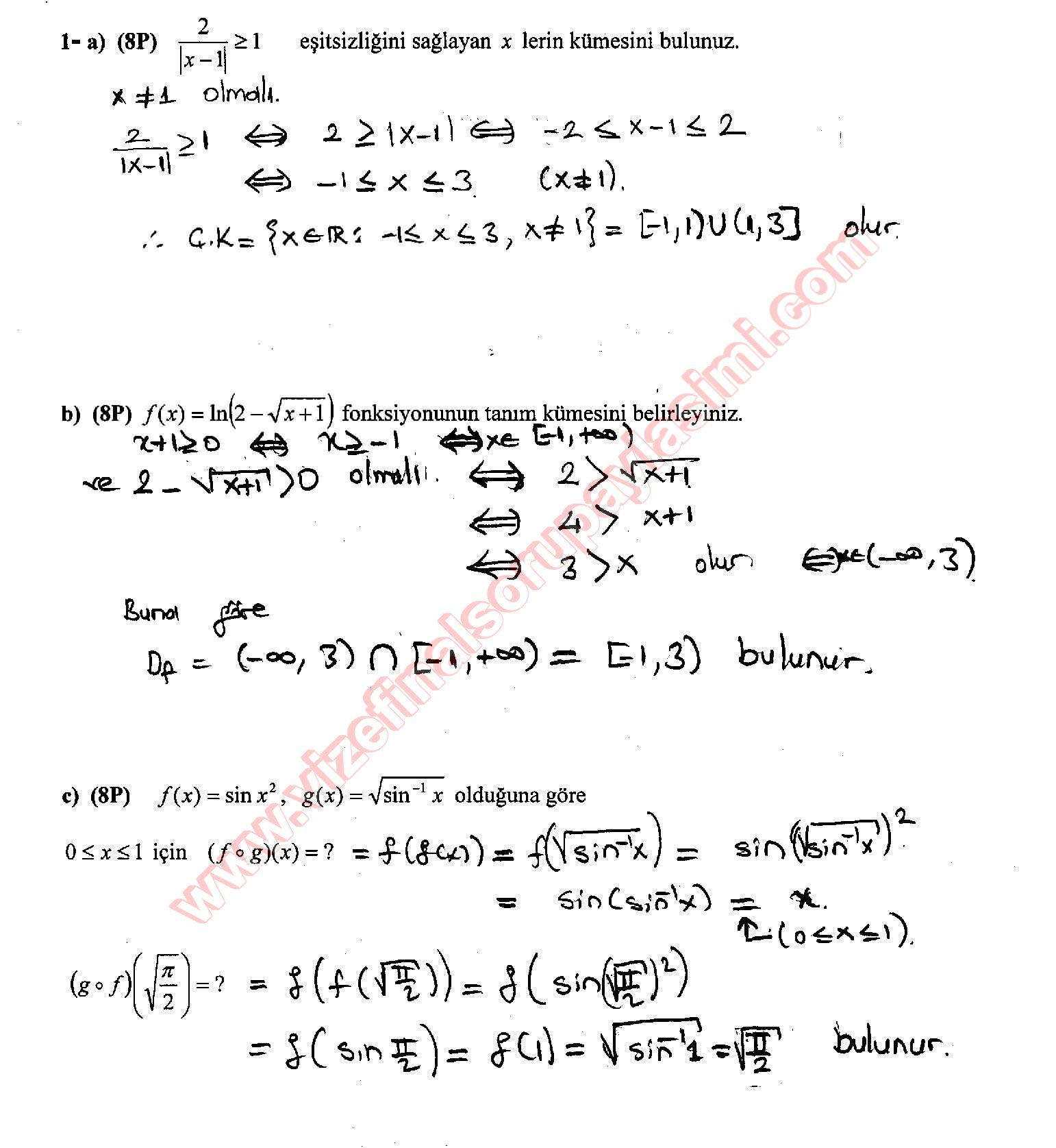
trakya üniversitesi matematik final soruları
Bands businesses restaurants brands and celebrities can create pages in order to connect with their fans and customers on facebook. üniversite taban puanları için tek yapmanız gereken. Lise birinci sınıftayken geçirdiğim uzun süreli bir hastalık nedeniyle okula devam edemedim.
Aynı programı tercih eden tüm öğrenciler aldıkları puana göre sıraya dizilmekte ve en yüksek puanı alan öğrenciden başlayarak ilgili programa yerleştirilmektedir.

Trakya üniversitesi matematik final soruları. Hacettepe üniversitesi tıp fakültesi ne dereceyle girdi. üniversite adayları yükseköğretim programlarına yerleştirilirken yks sonucunda aldıkları yerleştirme puanları kullanılmaktadır.
iktisadi matematik final sorulari vize ve final sorulari paylasim portali cozumlu sorular icin tiklayin
matematik 1 vize sorulari ve cevaplari vize ve final sorulari paylasim portali cozumlu sorular icin tiklayin
genel matematik 1 vize sorulari vize ve final sorulari paylasim portali cozumlu sorular icin tiklayin
veri yapilari dersi final sorulari 2014 vize ve final sorulari paylasim portali cozumlu sorular icin tiklayin
matematik 1 butunleme sorulari ve cevaplari vize ve final sorulari paylasim portali cozumlu sorular icin tiklayin





































































